Mix Tocopherol (E307B): Giải Pháp Chống Oxy Hóa Tự Nhiên Cho Bơ Và Dầu Ăn

Trong bối cảnh người tiêu dùng ngày càng khắt khe với các thành phần hóa học trong thực phẩm, xu hướng tìm kiếm các giải pháp bảo quản có nguồn gốc tự nhiên đang trở thành ưu tiên hàng đầu của các nhà sản xuất. Đối với các sản phẩm giàu chất béo như bơ và dầu thực vật thì thách thức lớn nhất chính là quá trình oxy hóa lipid - nguyên nhân gây ra mùi ôi khét và làm giảm giá trị dinh dưỡng. Mix tocopherol (E307b) là giải pháp chống oxy hóa hiệu quả giúp kiểm soát quá trình biến đổi chất lượng và đáp ứng các tiêu chuẩn khắt khe về an toàn.

1. Mix tocopherol (E307b) là gì?

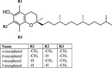
Mix tocopherol được mã hóa trong danh mục phụ gia thực phẩm quốc tế là E307b thực chất là một hỗn hợp các đồng đẳng của Vitamin E. Vitamin E trong tự nhiên không tồn tại dưới một dạng duy nhất mà là một nhóm gồm bốn đồng đẳng chính: alpha, beta, gamma, và delta tocopherol.

Bốn đồng đẳng alpha, beta, gamma và delta tocopherol.

Khác với alpha-tocopherol nguyên chất thường được biết đến với hoạt tính sinh học cao nhất trong cơ thể người, Mix tocopherol (E307b) lại được ưu tiên trong công nghiệp thực phẩm nhờ khả năng chống oxy hóa vượt trội. Trong hỗn hợp này, các dạng gamma và delta đóng vai trò chủ chốt trong việc ngăn chặn các gốc tự do tấn công các phân tử chất béo, từ đó bảo vệ cấu trúc thực phẩm khỏi sự phân hủy hóa học theo thời gian.

 

2. Nguồn gốc của Mix tocopherol (E307b)

Nguồn gốc của Mix tocopherol (E307b) chủ yếu đến từ các loại dầu thực vật ăn được như dầu đậu nành, dầu hướng dương, dầu hạt cải hoặc dầu ngô. Qua các quy trình tinh lọc vật lý và hóa học hiện đại, các nhà sản xuất tách chiết được hỗn hợp tocopherol nồng độ cao. Vì có nguồn gốc hoàn toàn từ thực vật, E307b được công nhận là chất chống oxy hóa tự nhiên phù hợp với các tiêu chuẩn Clean Label mà nhiều thương hiệu thực phẩm cao cấp đang hướng tới. Việc sử dụng nguồn nguyên liệu tái tạo này không chỉ giúp sản phẩm thân thiện với sức khỏe mà còn đáp ứng các yêu cầu về phát triển bền vững trong ngành công nghiệp phụ gia.

 
E307b có nguồn gốc thực vật, đáp ứng các yêu cầu về an toàn sinh học và phát triển bền vững.

 

3. Đặc tính của Mix tocopherol (E307b)

Điểm khác biệt lớn nhất giúp Mix tocopherol (E307b) trở nên vô giá trong sản xuất thực phẩm chính là cơ chế chống oxy hóa. Khi tiếp xúc với các tác nhân gây hại như oxy, ánh sáng hoặc nhiệt độ, các phân tử tocopherol sẽ phản ứng với các gốc tự do trước khi chúng kịp tấn công vào các liên kết đôi của acid béo.

 

Về mặt vật lý, E307b thường tồn tại dưới dạng chất lỏng hơi nhớt, màu vàng nâu đặc trưng và có mùi nhẹ. Nó có khả năng hòa tan hoàn toàn trong chất béo và dầu và không tan trong nước. Đặc tính này giúp nó phân tán đồng đều trong các hệ nhũ tương của bơ hoặc các dòng dầu ăn tinh luyện tạo ra một lớp màng bảo vệ ở cấp độ phân tử.

 

Mix tocopherol có độ bền nhiệt tương đối tốt. Trong khi nhiều chất chống oxy hóa tổng hợp có thể bị phân hủy hoặc bay hơi ở nhiệt độ cao thì E307b vẫn giữ được hiệu quả bảo vệ trong suốt quá trình xử lý nhiệt như sấy hoặc chiên rán. Điều này đặc biệt quan trọng đối với các sản phẩm có thời hạn sử dụng dài đòi hỏi sự ổn định xuyên suốt từ nhà máy đến tay người tiêu dùng.

 

 

4. Ứng dụng của Mix tocopherol (E307b) trong sản xuất

4.1 Ứng dụng trong sản xuất bơ

Bơ động vật hay bơ thực vật  đều là những hệ nhũ tương nhạy cảm với các yếu tố môi trường. Do chứa hàm lượng nước và chất béo đan xen nên bơ rất dễ bị oxy hóa dẫn đến hiện tượng biến màu và xuất hiện mùi khó chịu.

 

Mix tocopherol (E307b) trong công thức sản xuất bơ đóng vai trò là một chất ổn định mạng lưới lipid. Trong quá trình đánh trộn và kết tinh chất béo, E307b được hòa tan vào pha dầu, giúp bảo vệ các acid béo chưa bão hòa. Đặc biệt, đối với các loại bơ thực vật giàu Omega-3 và Omega-6 thì sự hiện diện của E307b là vô cùng cần thiết để ngăn chặn sự hình thành các hợp chất carbonyl và aldehyde - những thủ phạm gây ra mùi ôi. Ngoài việc bảo vệ hương vị, Mix tocopherol còn giúp giữ cho màu vàng tự nhiên của bơ không bị xỉn.

 
Mix tocopherol đóng vai trò là chất ổn định mạng lưới lipid giúp bảo vệ các acid béo chưa bão hòa.

4.2 Ứng dụng trong sản xuất dầu ăn

Dầu ăn là phân khúc ứng dụng lớn nhất của Mix tocopherol. Mặc dù trong dầu thực vật thô đã có sẵn một lượng tocopherol tự nhiên nhưng quá trình tinh luyện thường làm thất thoát một lượng lớn các chất này. Việc bổ sung ngược lại E307b giúp phục hồi khả năng tự bảo vệ của dầu.

 

Trong dầu chiên rán, Mix tocopherol chứng minh hiệu quả vượt trội trong việc kéo dài số lần sử dụng dầu. Khi dầu bị đun nóng liên tục, các phản ứng polymer hóa và oxy hóa diễn ra mãnh liệt. E307b giúp làm chậm quá trình này, giữ cho chỉ số Peroxide (PV) và chỉ số Acid (AV) ở mức thấp trong thời gian dài hơn. Đối với các dòng dầu ăn cao cấp dùng cho trộn salad hoặc thực phẩm chức năng, Mix tocopherol đảm bảo rằng các chất béo có lợi không bị phá hủy, bảo toàn nguyên vẹn giá trị dinh dưỡng mà nhà sản xuất cam kết.

 
Việc bổ sung E307b giúp dầu chiên rán kiểm soát chỉ số Peroxide và Acid ở mức thấp, từ đó kéo dài đáng kể số lần sử dụng và thời hạn bảo quản.

 

5. Lợi ích khi sử dụng Mix tocopherol (E307b)

Về mặt kinh tế, Mix tocopherol kéo dài thời hạn sử dụng của sản phẩm làm tỷ lệ hàng kém chất lượng. Hiệu quả của E307b thường cao hơn khi so sánh với các chất chống oxy hóa đơn lẻ, vì sự kết hợp của các đồng đẳng tocopherol tạo ra tác động hiệp đồng, bảo vệ thực phẩm ở nhiều giai đoạn oxy hóa khác nhau.

 

Trong kỷ nguyên clean label, việc thay thế các chất chống oxy hóa tổng hợp như BHA, BHT hay TBHQ bằng Mix tocopherol tự nhiên là một điểm cộng lớn vì người tiêu dùng hiện nay có xu hướng e dè với các chất hóa học lạ nhưng lại rất cởi mở với Vitamin E (tocopherol) - một dưỡng chất thiết yếu cho cơ thể.

 

Mặc dù mục đích chính của E307b là bảo quản thực phẩm nhưng việc tiêu thụ một lượng nhỏ tocopherol tự nhiên vẫn an toàn hơn nhiều so với các dẫn xuất tổng hợp. Nó không gây ra các tác dụng phụ tích tụ và đã được các tổ chức uy tín như FDA (Hoa Kỳ) và EFSA (Châu Âu) phê duyệt sử dụng rộng rãi.

 

 6. Lưu ý khi sử dụng và bảo quản

Việc sử dụng Mix tocopherol cần tuân thủ các nguyên tắc khoa học để đạt kết quả tối ưu. Tỷ lệ sử dụng thường rất thấp, chỉ dao động từ 0.02% đến 0.05% tùy theo loại chất béo, vì vậy việc định lượng và phân tán đều trong nguyên liệu là cực kỳ quan trọng. Nếu nồng độ quá cao, đôi khi nó có thể phản tác dụng và gây ra hiệu ứng tiền oxy hóa mặc dù trường hợp này rất hiếm gặp trong thực tế sản xuất.

 

Vì bản thân Mix tocopherol là chất hy sinh để chống oxy hóa, nên nó rất nhạy cảm với không khí và ánh sáng mạnh. Thùng chứa E307b cần được đậy kín sau khi mở, bảo quản ở nơi khô ráo, thoáng mát và tránh ánh nắng trực tiếp. Trong điều kiện lý tưởng, Mix tocopherol có thể duy trì hoạt tính ổn định trong vòng 12 đến 24 tháng. 

 

7. Aroma - nhà cung cấp Mix tocopherol (E307b) uy tín, chất lượng

Công ty TNHH Thực Phẩm Aroma là một trong những đơn vị uy tín trong lĩnh vực phân phối nguyên liệu thực phẩm tại thị trường Việt Nam. Đặc biệt, Mix tocopherol (E307b) do Aroma cung cấp luôn được đảm bảo về chất lượng, độ tinh khiết và an toàn thực phẩm với đầy đủ chứng nhận nguồn gốc và tiêu chuẩn kỹ thuật rõ ràng. Sản phẩm Mix tocopherol (E307b) của chúng tôi được kiểm soát nghiêm ngặt từ khâu nhập khẩu, bảo quản cho đến phân phối cuối cùng, đảm bảo ổn định và phù hợp cho nhiều ứng dụng như thực phẩm, mỹ phẩm và các ngành công nghiệp thực phẩm khác.

 

Để được tư vấn chi tiết về ứng dụng của Mix tocopherol (E307b) gum trong sản xuất và nhận báo giá cạnh tranh, Quý khách hàng vui lòng liên hệ trực tiếp với Aroma qua số điện thoại 0938 875 085 (Zalo) để được hỗ trợ nhanh chóng và chuyên nghiệp.

 
 
 
 
 

 

 

 

 

Ngày đăng 01/04/2026 bởi Admin

Copyright © 2021 - CÔNG TY TNHH THỰC PHẨM AROMA