Chất Ổn Định 415 Là Gì? Có An Toàn Cho Sức Khỏe Không?

Trong ngành công nghiệp thực phẩm, việc kiểm soát cấu trúc, độ nhớt và độ ổn định của sản phẩm là một trong những yếu tố quan trọng quyết định chất lượng cũng như vòng đời sản phẩm. Chất ổn định 415 là một phụ gia được sử dụng phổ biến để đáp ứng các yêu cầu này. Tuy nhiên, mức độ an toàn của chất ổn định 415 đối với thực phẩm vẫn là vấn đề được nhiều doanh nghiệp và người tiêu dùng quan tâm.

 

Bài viết dưới đây sẽ phân tích chi tiết bản chất của chất ổn định 415, các tính chất hóa học đặc trưng, những yếu tố ảnh hưởng đến độ nhớt cũng như các ứng dụng tiêu biểu trong công nghiệp thực phẩm.

1. Chất ổn định 415 là gì?

Chất ổn định 415 là tên phụ gia của Xanthan gum, một polysaccharide tự nhiên được tạo ra bằng quá trình lên men đường bởi vi khuẩn Xanthomonas campestris. Sau khi lên men, dịch nuôi được tiệt trùng, kết tủa bằng cồn sau đó sấy khô và nghiền mịn và thu được bột Xanthan màu trắng ngà hoặc vàng nhạt, không mùi, gần như không vị và tan tốt trong nước.

 

Về mặt chức năng, chất ổn định 415 được xếp vào nhóm chất làm dày, chất ổn định và chất nhũ hóa trong danh mục phụ gia thực phẩm quốc tế, với mã E415. Nhờ xuất phát từ quá trình lên men sinh học, không dùng nguyên liệu động vật, Xanthan gum phù hợp với sản phẩm chay và có thể đáp ứng các tiêu chuẩn Halal, Kosher khi được sản xuất theo đúng quy chuẩn.

Chất ổn định 415 là polysaccharide lên men sinh học dùng để tạo độ nhớt và ổn định cấu trúc thực phẩm.

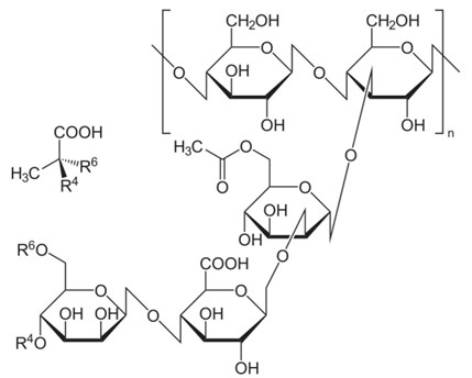
2. Cấu trúc hóa học và tính chất của chất ổn định 415

Cấu trúc hóa học của chất ổn định 415
Về cấu trúc, chất ổn định 415 là một polysaccharide cao phân tử có xương sống là chuỗi cellulose (các đơn vị D-glucose nối với nhau bằng liên kết βetaβ-1,4) và các nhánh bên gồm D-mannose, acid glucuronic cùng các nhóm acetyl, pyruvat. Cấu trúc chuỗi dài có nhánh và mang điện tích này giúp phân tử tương tác mạnh với nước, tạo thành mạng lưới ba chiều trong dung dịch từ đó đem lại độ nhớt cao ngay ở nồng độ thấp.
 
Một ưu điểm quan trọng là độ nhớt của dung dịch Xanthan gum rất ổn định trong khoảng pH rộng (xấp xỉ 1-13) và dải nhiệt độ lớn, từ âm đến nhiệt độ nấu, thanh trùng. Trong thực nghiệm, người ta ghi nhận dung dịch Xanthan 0,3% trong nước khử ion chuyển từ cấu trúc trật tự sang linh hoạt khoảng 40°C, nhưng khi có sự hiện diện của muối, nhiệt độ này có thể tăng lên trên 90°C, cho thấy sự ổn định tốt ở điều kiện chế biến thực phẩm thông thường. Chất ổn định 415 cũng có khả năng chống lại phân hủy bởi nhiều loại enzym.
 
Xanthan gum nổi tiếng với khả năng tạo độ nhớt rất cao ở liều lượng nhỏ, thông thường trong thực phẩm chỉ cần dưới 0,5% đã tạo được độ sệt rõ rệt. Dung dịch E415 có tính giả dẻo (độ nhớt giảm khi chịu lực cắt (khuấy, bơm, lắc, nhai) và phục hồi khi lực này dừng lại). Nhờ đó, sản phẩm chứa chất ổn định 415 dễ dễ bơm, dễ rót nhưng khi đứng yên lại sánh mịn, không bị chảy lỏng quá nhanh.
 
Tuy nhiên, Xanthan gum cũng dễ bị vón cục nếu không được phân tán đúng cách. Nguyên nhân là tốc độ hydrat hóa của chất ổn định 415 rất nhanh: khi tiếp xúc với nước, các phân tử ở bề mặt hạt bột hút nước mạnh, trương nở và tạo thành lớp gel bao quanh, khiến phần bột bên trong khó tiếp xúc nước và không hydrat hóa được. Để tránh hiện tượng này, nhà sản xuất thường phân tán Xanthan gum bằng cách trộn trước với đường, dầu hoặc các thành phần bột khác, đồng thời khuấy mạnh trong quá trình nạp vào nước.
 

3. Các yếu tố ảnh hưởng đến độ nhớt của chất ổn định 415

 
Độ nhớt dung dịch Xanthan gum chịu ảnh hưởng bởi nhiều yếu tố: nồng độ, muối, pH, nhiệt độ và tốc độ khuấy.
 
Nồng độ: Khi tăng nồng độ Xanthan gum, độ nhớt tăng rất nhanh do mật độ mạng lưới polymer trong dung dịch dày hơn. Vì vậy, chỉ một thay đổi nhỏ về liều dùng cũng khiến sản phẩm đặc hơn đáng kể, điều này cần được kiểm soát chặt trong sản xuất.
 
Muối: Các muối hóa trị I như NaCl có thể làm thay đổi trạng thái cuộn - duỗi của chuỗi Xanthan, từ đó ảnh hưởng đến độ nhớt. Ở một số nồng độ nhất định, muối còn giúp tăng nhiệt độ mà tại đó cấu trúc Xanthan chuyển đổi, nên độ nhớt duy trì ổn định hơn khi gia nhiệt.
 
pH: Xanthan gum ổn định trong khoảng pH từ rất acid tới kiềm nhẹ, nhưng độ nhớt có thể giảm dần khi pH xuống thấp dưới khoảng 4. Dù vậy, độ nhớt vẫn ổn định theo thời gian, tức là sản phẩm không bị chảy lỏng dần khi bảo quản trong môi trường acid.
 
Nhiệt độ: chất ổn định 415 giữ độ nhớt gần như không đổi khi tăng nhiệt độ trong vùng sử dụng thực phẩm, chỉ khi vượt ngưỡng nóng chảy chuyển cấu trúc mới giảm mạnh. Điều này lý giải vì sao Xanthan gum được dùng nhiều trong các sản phẩm cần gia nhiệt, thanh trùng, hoặc trải qua chu kỳ đông - rã đông.
 
Tốc độ khuấy: Do là chất lỏng phi Newton giả dẻo, độ nhớt Xanthan gum giảm khi tốc độ cắt tăng, rồi phục hồi khi dừng khuấy. Tính chất này rất có lợi cho các công đoạn bơm, chiết rót và trải đều sản phẩm.
 

4. Chất ổn định 415 có an toàn cho sức khỏe không?

 
Chất ổn định 415 đã được nhiều tổ chức quốc tế lớn đánh giá và phê duyệt. Cục Quản lý Thực phẩm và Dược phẩm Hoa Kỳ (FDA), Cơ quan An toàn Thực phẩm Châu Âu (EFSA) và Ủy ban hỗn hợp FAO/WHO về phụ gia thực phẩm (JECFA) đều công nhận E415 là phụ gia an toàn khi sử dụng đúng mục đích trong thực phẩm. EFSA trong lần tái đánh giá năm 2017 kết luận không cần đặt mức ADI cụ thể cho Xanthan gum vì không thấy lo ngại về độc tính trong các dữ liệu phơi nhiễm và thử nghiệm ngoại trừ có giới hạn riêng cho nhóm trẻ sơ sinh trong vài dạng sản phẩm đặc thù.
 

 

Các nghiên cứu cho thấy Xanthan gum hầu như không bị hấp thu nguyên vẹn mà được vi khuẩn đường ruột lên men tương tự chất xơ hòa tan, và không gây độc tính gen hay ung thư trong các thử nghiệm dài hạn ở động vật. 

 

Tuy nhiên, giống như bất kỳ phụ gia hay thành phần thực phẩm nào khác, một số người có hệ tiêu hóa đặc biệt nhạy cảm có thể gặp cảm giác khó chịu khi dùng lượng lớn sản phẩm chứa nhiều chất ổn định 415. Trong các trường hợp đó nên tham khảo ý kiến bác sĩ hoặc chuyên gia dinh dưỡng để điều chỉnh chế độ ăn phù hợp.

Theo các đánh giá khoa học hiện nay, chất ổn định 415 an toàn cho sức khỏe khi được sử dụng đúng mục đích và liều lượng.

 

5. Công dụng của chất ổn định 415 trong thực phẩm

Ở các sản phẩm lỏng như nước sốt, tương ớt, nước chấm, sốt salad, E415 giúp tăng độ sánh, tạo cảm giác mịn, giữ cho dầu và nước không tách lớp đồng thời phân tán đều hạt gia vị trong toàn bộ thể tích sản phẩm. Nhờ tính giả dẻo, sốt dễ chảy khi rót nhưng bám tốt trên bề mặt thức ăn, mang lại trải nghiệm sử dụng thuận tiện hơn cho người tiêu dùng.

 

Trong sữa chua, sản phẩm từ sữa và các dòng sữa hạt, Xanthan gum ổn định cấu trúc, hạn chế tách nước giúp bề mặt sản phẩm mịn, ít bị rỗ và duy trì độ đặc đồng nhất trong suốt thời gian bảo quản. Với kem và tráng miệng đông lạnh, E415 phối hợp với các hydrocolloid khác để hạn chế hình thành tinh thể đá.

 

Trong đồ nướng và bánh kẹo, Xanthan gum giúp cải thiện kết cấu dai, dẻo mịn, giữ ẩm tốt hơn, đặc biệt hữu ích trong các sản phẩm không gluten, nơi nó thay thế một phần vai trò tạo mạng của gluten. Bột nhào có Xanthan gum giữ khí tốt hơn, bánh nở đều, ít vụn và giữ mềm lâu hơn trong quá trình bảo quản. Ngoài ra, Xanthan còn xuất hiện trong một số sản phẩm thịt, xúc xích, nhân mặn với vai trò hỗ trợ giữ nước, tăng độ kết dính và ổn định cấu trúc.

Chất ổn định 415 được sử dụng trong nhiều loại thực phẩm nhằm tạo độ sánh, ổn định cấu trúc và hạn chế tách lớp trong suốt quá trình bảo quản

Xem thêm bài viết về E415 ứng dụng trong sản xuất thực phẩm

6. Aroma - nhà cung cấp chất ổn định 415 uy tín, chất lượng

Công ty TNHH Thực Phẩm Aroma là một trong những đơn vị uy tín trong lĩnh vực phân phối nguyên liệu thực phẩm tại thị trường Việt Nam. Đặc biệt, chất ổn định 415 do Aroma cung cấp luôn được đảm bảo về chất lượng, độ tinh khiết và an toàn thực phẩm với đầy đủ chứng nhận nguồn gốc và tiêu chuẩn kỹ thuật rõ ràng. Sản phẩm chất ổn định 415 của chúng tôi được kiểm soát nghiêm ngặt từ khâu nhập khẩu, bảo quản cho đến phân phối cuối cùng, đảm bảo ổn định và phù hợp cho nhiều ứng dụng như thực phẩm, hóa dầu và các ngành công nghiệp thực phẩm khác.

 

Để được tư vấn chi tiết về ứng dụng của chất ổn định 415 trong sản xuất và nhận báo giá cạnh tranh, Quý khách hàng vui lòng liên hệ trực tiếp với Aroma qua số điện thoại 0938 875 085 (Zalo) để được hỗ trợ nhanh chóng và chuyên nghiệp.

 
Ngày đăng 26/01/2026 bởi Admin

Copyright © 2021 - CÔNG TY TNHH THỰC PHẨM AROMA